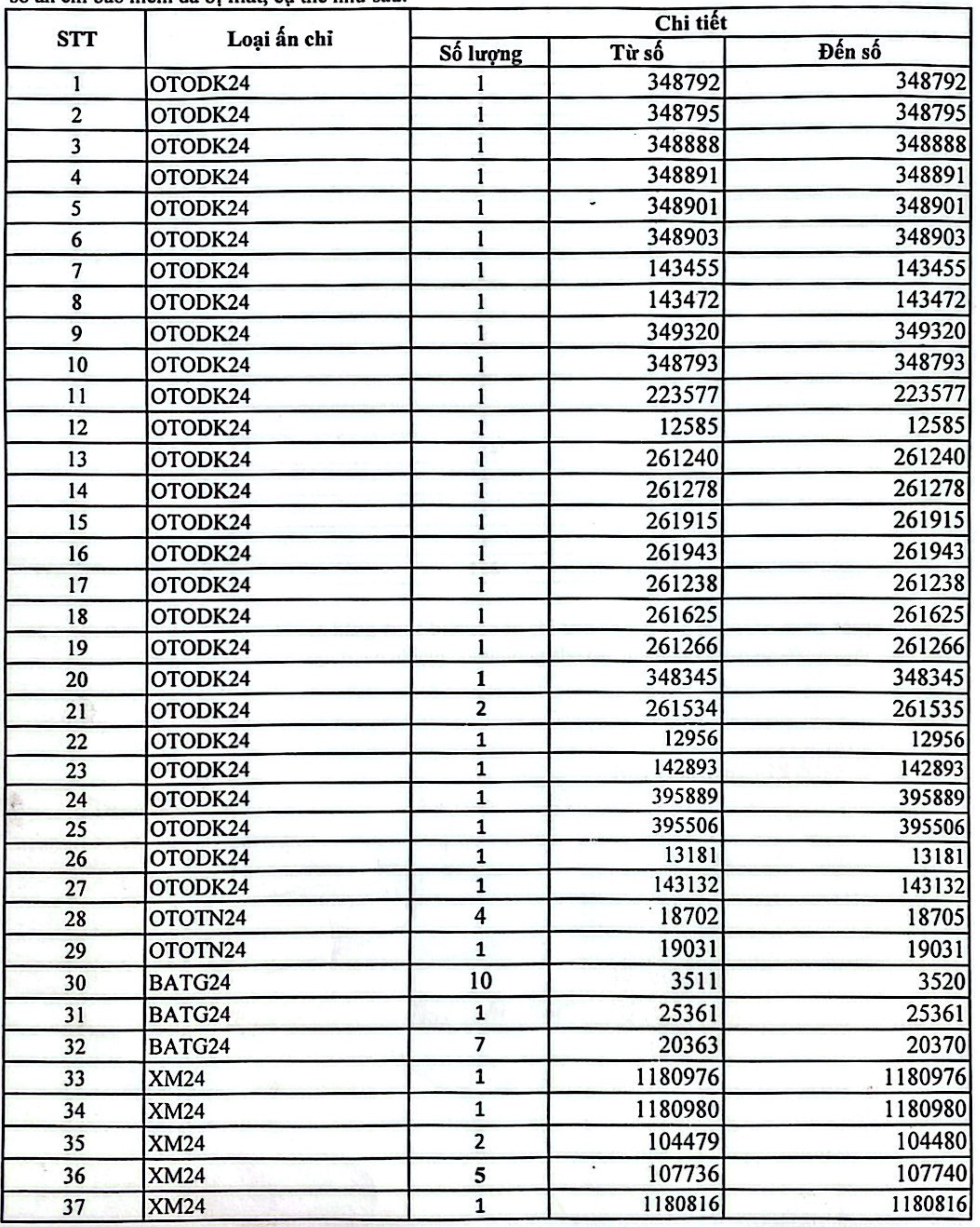
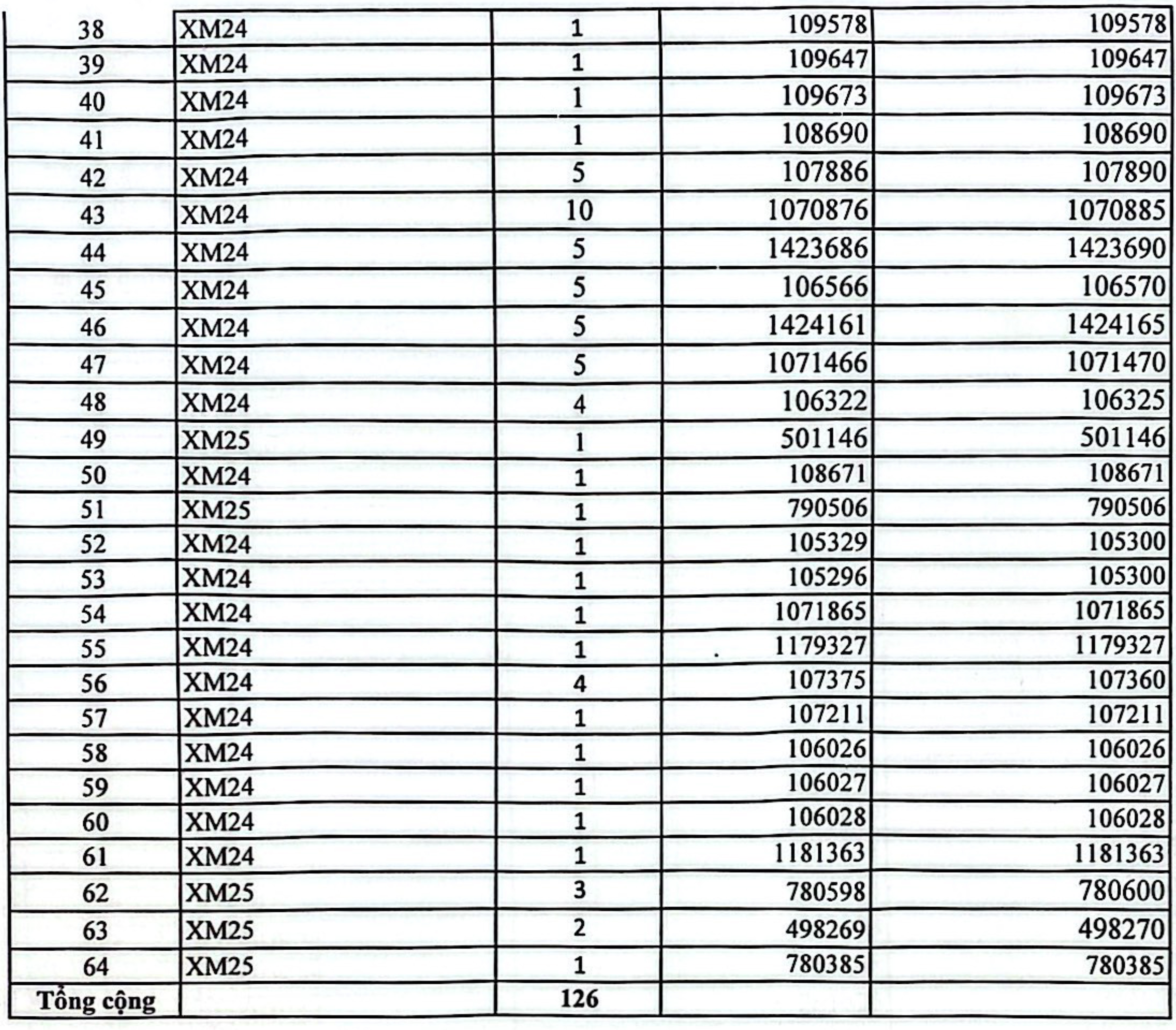
Công ty Bảo hiểm BSH Khánh Hòa trân trọng thông báo đến Quý khách hàng một số ấn chỉ bảo hiểm đã bị mất, cụ thể như sau:
![]() |
![]() |
Nay xin thông báo đến quý khách hàng được biết các ấn chỉ trên không còn giá trị sử dụng, Công ty Bảo hiểm BSH Khánh Hòa không chịu trách nhiệm bồi thường cho các tổn thất liên quan đến các ấn chỉ này.
Trân trọng.




Thông tin bạn đọc
Đóng Lưu thông tin